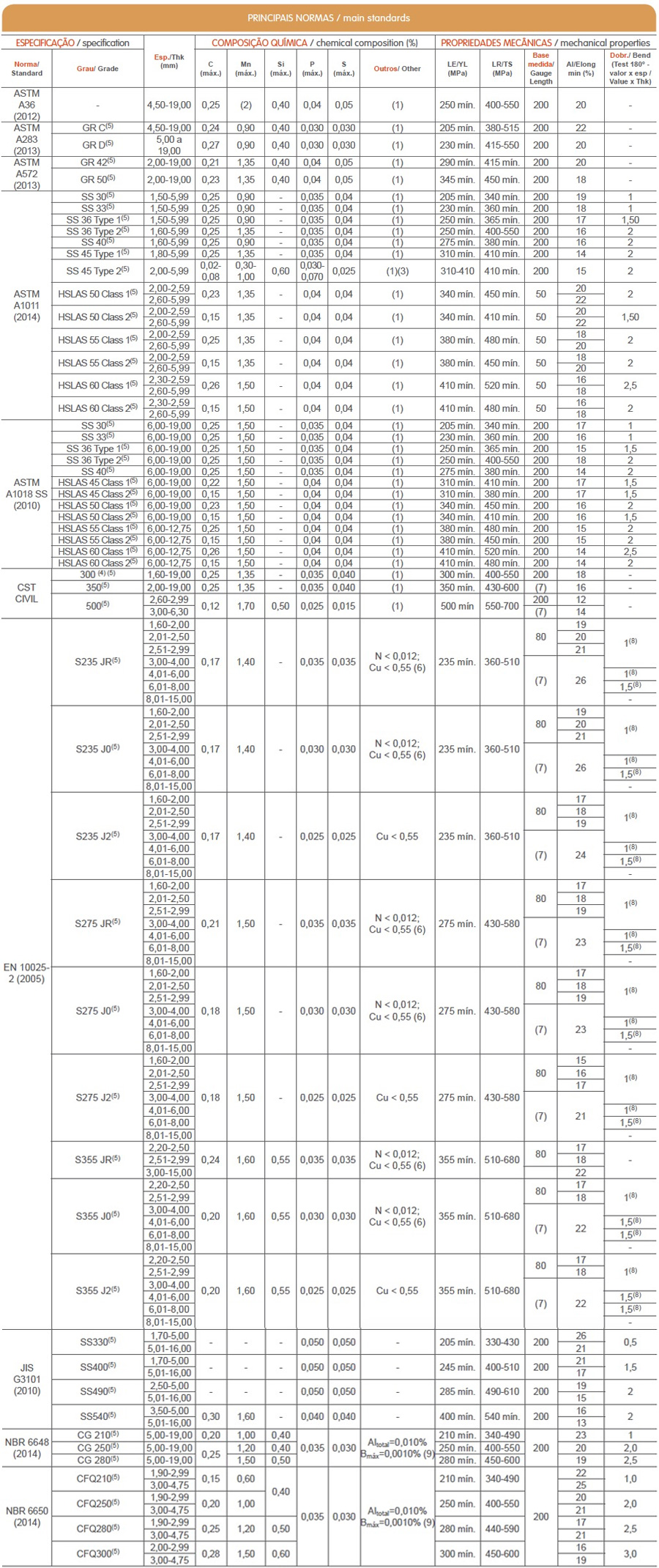
Aços de Qualidade Estrutural

Aços Laminados a Quente

Fornecidos com garantia de composição química e propriedades mecânicas, podem ou não conter elementos microligantes. São ideais para utilização em componentes estruturais que precisam ter desempenho mecânico aliado a boas características de soldabilidade.

Aplicações: 

  • Pontes;
  • Torres de linhas de transmissão;
  • Caçambas;
  • Estruturas de máquinas;
  • Estruturas metálicas de edificações etc.

Aços Laminados a Frio

São aços microligados com elevada resistência mecânica obtida através de um processo de endurecimento por precipitação e refinamento de grãos, utilizando teores limitados de elementos de liga. Esse tipo de aço apresenta, ainda, excelentes propriedades de conformação a frio e de resistência à fratura frágil a baixas temperaturas, considerando os respectivos limites elásticos.

Aplicações: são ideais para a produção de partes estruturais internas de veículos como peças dos chassis ou de reforço. Também encontram aplicação em:

  • Torres de linhas de transmissão;
  • Caçambas;
  • Estruturas de máquinas;
  • Painéis;
  • Estruturas de galpões autoportantes etc.


Para comprar este produto ligue para (27) 3348 1240 ou (27) 3348 1065 ou envie e-mail para vendas.planos@arcelormittal.com.br